The summation identities
#1
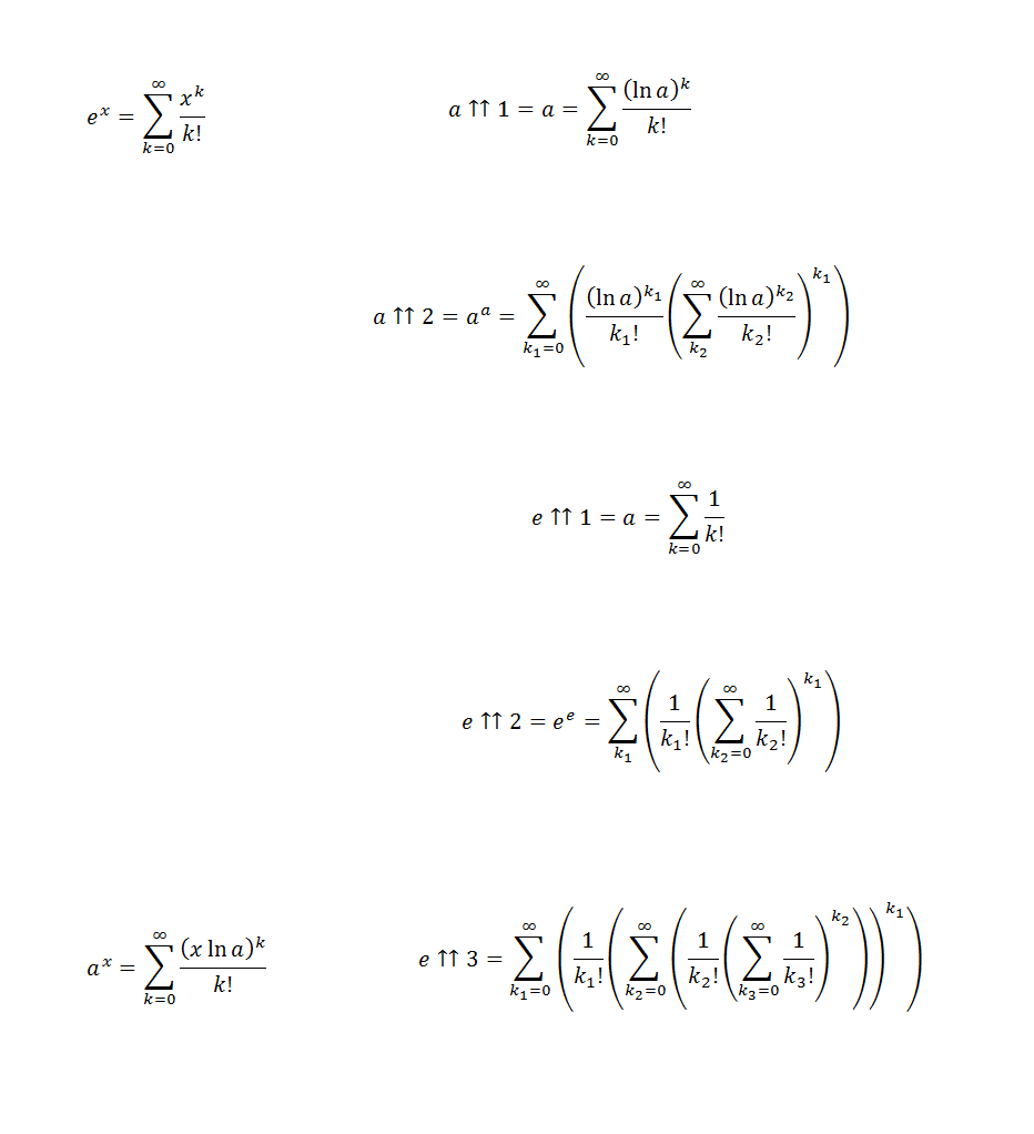
I was looking at the summation identity that is equal to e^x and from that I derived some other summation identities.

   

I used the summation identities that is equal to a^x to derive some summation identities that are equal to different size power towers. I found that the summation identities for power towers or tetration involve summations within summations and sometimes summations within summations within summations. I'm wondering if there would be a simpler way to express the summations within summations as if there is then I'm thinking it could help with tetration involving numbers other than the positive integers.
Reply
#2
Question 
Welcome to the forum acgusta2.

Thank you for participating and using Tex.

However , I think you made a typo , I think after closing Every Bracket there should be a " ^k " , till the power k , right ?

Second , have you seen this :

http://mathworld.wolfram.com/PowerTower.html

It probably contains the formula you Search for ?

Its a Nice idea you have , but assuming the Above ; already investigated and nothing new.

Correct if im wrong.

Also , it is standard practice in math too use as many variables as possible IF it clarifies.
Ok that sounds cryptic , what I mean in this situation is :

You should Sum over k_1,k_2,... Otherwise the nested sums are confusing.
( Sum when over what , in what order etc )


It might seem irrelevant advice , but really it is crucial for the clarity of communication , and keep in Mind being clear reduces the probability of confusing yourself , in particular when you look at it again MUCH LATER.

Regards

Tommy1729
Reply
#3
I edited my original post and changed some of the ks to k_1, k_2, and k_3 and also raised the nested sums to powers of k and found that if I added one more layer of nested sums I could produce self similarity for all layers.

I also saw the formula in the link from Wolfram, and I'm confused as to what

   

means.
Reply


Possibly Related Threads…
Thread Author Replies Views Last Post
  Borel summation bo198214 14 17,029 09/18/2022, 10:58 PM
Last Post: tommy1729
  Borel summation, Mellin Transforms, Parabolic iteration JmsNxn 5 7,801 09/10/2022, 03:12 PM
Last Post: bo198214
  Developing contour summation JmsNxn 3 13,723 12/13/2013, 11:40 PM
Last Post: JmsNxn
  Borel summation and other continuation/summability methods for continuum sums mike3 2 13,930 12/30/2009, 09:51 PM
Last Post: mike3



Users browsing this thread: 1 Guest(s)